+17 fotó
Hirdetéskód: 8824534
Referenciaszám: 198201278
Frissítve: ma
Nyíregyháza eladó sorház 4 szobás: 119,9 millió Ft
119,9 millió Ft
875 182 Ft/m²
137 m²
100 m²
4 szoba
Kertvárosi álomház Nyíregyházán – felújított otthon Korányi‑kertváros legjobb részén
Rövid bevezető
Nyíregyházán, a Korányi‑kertváros egyik legkeresettebb részén, a Tölgyes erdő közelében eladó egy teljes körűen, prémium minőségben átépített és felújított, 2 szintes, kertkapcsolatos, szélső sorházi lakás garázzsal, fedett kerti pavilonnal és számos extra kényelmi megoldással. Az ingatlan azonnal költözhető, ideális választás igényes családoknak, akik modern, kész otthont keresnek rendezett, csendes kertvárosi környezetben.
Főbb paraméterek
Lokáció: Nyíregyháza, Korányi‑kertváros, Tölgyes erdő közelében, kertvárosias környezetben
Ingatlantípus: szélső sorházi lakás, 2 szintes
Állapot: teljes körűen, prémium minőségben felújított
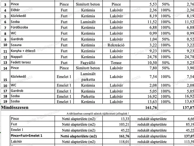
Nettó alapterület: 161,76 m²
Redukált alapterület: 137,07 m²
Lakótér: 113,07 m²
Telek: cca.: 150 m², oldalsó és hátsó kertkapcsolattal
Szobaszám: 3 szoba + amerikai konyhás nappali
Fürdő/WC: 1 zuhanyzós fürdőszoba + 2 külön WC
Parkolás: 17 m²‑es garázs elektromos kapuval, fedett gépkocsi beálló, utcai parkoló
Közös költség: 8 700 Ft/hó
Helyiségelosztás
Földszint
- Fedett terasz (kertkapcsolattal)
- 17 m²‑es garázs elektromos kapuval
- Pincehelyiség
- Előtér, közlekedő
- Szoba
- Fürdőszoba
- WC
- Gardrób
- Szauna
- Amerikai konyhás nappali, étkező
- Hátsó, fedett terasz a kert felé
Emelet
- Közlekedő
- Külön WC
- Gardrób
- 2 tágas hálószoba
Kert és melléképület
- Parkosított, térkövezett kert oldalsó és hátsó kerti résszel
- 17 m²‑es fedett kerti pavilon
- Automata öntözőrendszer
- Fedett gépkocsi beálló (elektromos autó töltési lehetőséggel), elektromos udvari kapu
Műszaki tartalom, felújítás
- Falazat: tégla, 10 cm hőszigeteléssel
- Tájolás: kelet–nyugat (jó benapozottság, átszellőzés)
- Nyílászárók: háromrétegű, hőszigetelt műanyag ablakok redőnnyel; belső ajtók fa kivitelben
- Burkolatok: prémium kerámia és laminált parketta helyiségtől függően
- Fűtés: kondenzációs gázkazán + radiátoros fűtési rendszer
- Közművek: villany‑ és vízvezeték hálózat teljes cseréje
- Beépített szekrények, gardróbok a tárolás megkönnyítésére
- Szauna, klíma
- Biztonsági kamerarendszer, elektromos kapuk
- Mobil automata fűnyíró
Extrák, életmód, környezet
Tölgyes erdő közelsége: séták, sportolási lehetőségek, kutyasétáltatás, családi programok
Csendes, rendezett sorházas környék, jó szomszédsággal
Közelben üzletek, szolgáltatások, oktatási intézmények, buszmegállók – gyors elérés a belváros és a főbb közlekedési útvonalak felé.
Kinek ajánlott
Olyan vevőknek, akik nem akarnak a felújítással bajlódni, azonnal költözhető, magas műszaki színvonalú otthont keresnek.
Családoknak, akik értékelik a kertkapcsolatot, kerti pavilont, szaunát, garázst és fedett beállót, valamint a biztonságos, kertvárosias környezetet.
Hosszú távra tervező, értékállóságot kereső vevőknek, akik számára fontos a Korányi‑kertvárosi lokáció presztízse.
Megtekintés, kapcsolat
Az ingatlan rugalmas időpontban, előzetes egyeztetés után megtekinthető; komoly érdeklődő számára alaprajz, helyiséglista is rendelkezésre áll.
Kérem hívjon bizalommal!
Reichert Róbert
+36 30 9839-036
Tulajdonságok
Sorház
2
Felújított
Gázkazán
1986
7,5 m²
Nem adta meg a hirdető
Vedd fel a kapcsolatot a hirdetővel
+36 30 983 9
Hitelkalkulátor
Második évtől
515 995 Ft A 13. hónaptól
7,99%
Végig fix Futamidő: 20 év Banki visszahívás
Az OTP Bank munkatársai a neked megfelelő napszakban veszik fel veled a kapcsolatot. A becslés a hirdető által megadott adatokon alapul. A jelen tájékoztatás nem minősül ajánlattételnek és nem teljes körű, az egyes feltételek a hitelbírálat eredményétől függően változhatnak. Kérjük, a részletekről tájékozódj az OTP Bank fiókjaiban vagy az OTP Bank honlapján közzétett vonatkozó Üzletszabályzatokból és Hirdetményekből.
Vedd fel a kapcsolatot a hirdetővel
+36 30 983 9
Vedd fel a kapcsolatot a hirdetővel
+36 30 983 9
UI_KIT.CHARACTER_COUNTER__COMPONENT.REMAINING_SPACE__SR_ONLYUI_KIT.CHARACTER_COUNTER__COMPONENT.MAXIMUM_CHARACTER__SR_ONLY
Hasonló eladó ingatlanok Korányi-kertváros városrészben
Frissítve: 4 hónapja
1
129,9 M Ft 866 000 Ft/m²
Eladó ikerház, Nyíregyháza, Korányi-kertváros
Feltöltve: 1 éve
6
110 M Ft 733 333 Ft/m²
Eladó ikerház, Nyíregyháza, Korányi-kertváros
Frissítve: 4 hónapja
20
129,9 M Ft 866 000 Ft/m²
Eladó ikerház, Nyíregyháza, Korányi-kertváros

Fedezd fel a
hasonló házakat!Még további házak Nyíregyházán 119,9 M Ft körüli értékben
Tovább a hirdetésekhez Feltöltve: 7 hónapja
20
129,5 M Ft 799 383 Ft/m²
Eladó családi ház, Nyíregyháza, Korányi-kertváros
Frissítve: 4 hónapja
20
129,9 M Ft 1 299 000 Ft/m²
Eladó ikerház, Nyíregyháza, Korányi-kertváros, Kertváros
Frissítve: 29 napja
8
115 M Ft 927 419 Ft/m²
Eladó ikerház, Nyíregyháza, Korányi-kertváros

Töltsd fel hirdetésed ingyenesen!
Egyszerű